FAQ (Pertanyaan Umum) Standar Layanan (SOP) Janji Layanan Nama Jabatan : Analisi Data dan Informasi 2 sesuai dengan jenis data sebagai bahan informasi;
Anjab Pengelola Data | PDF

Anjab jfu pengumpul & pengolah data bahan perencanaan program
Anjab Analisis Data Dan Informasi | PDF
Unit Kerja : Pemerintah Kabupaten Barito Selatan Eselon II : Sekretariat Daerah Eselon III a : Kecamatan Dusun Selatan Eselon III b : Sekretariat Eselon I V : Sub Bagian Perencanaan, Evaluasi dan Anjab jfu pengumpul & pengolah data bahan perencanaan program 1 Kode Jabatan : 3
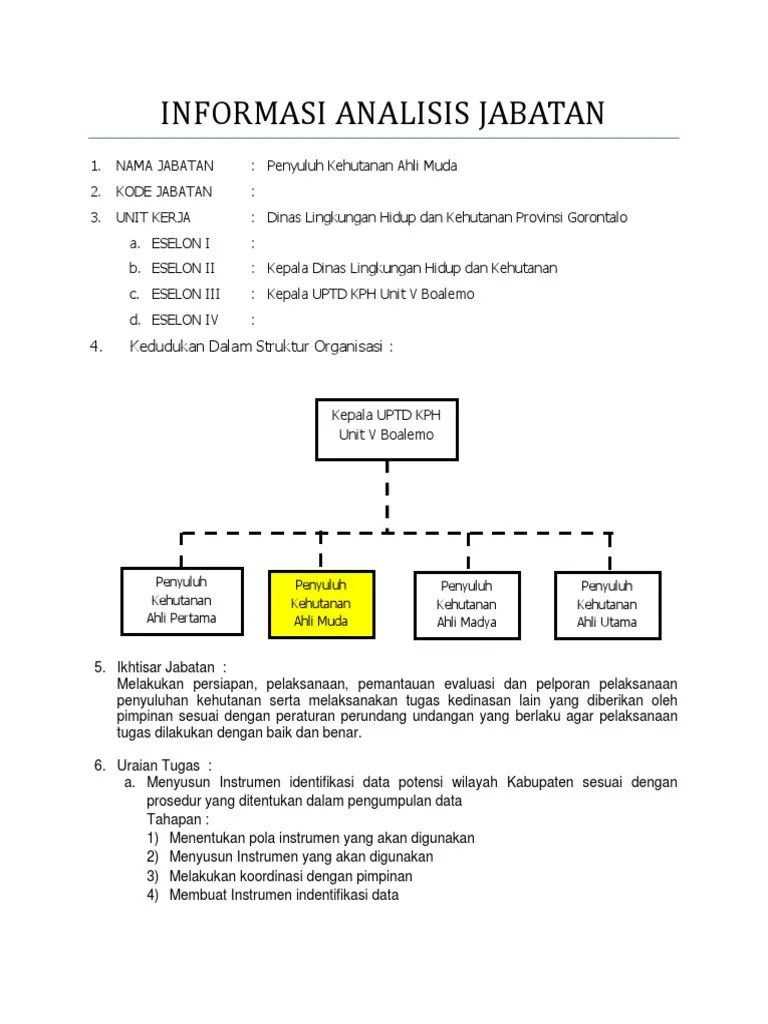
Anjab Penyuluh Ahli - Muda | PDF
ANJAB (Penyuluh Kehutanan Ahli Pertama) | PDF
Kode Jabatan : 3 Pengolahan Data dan Informasi Darimana sumber Alket? Pada KPP Madya Seksi Pengolahan Data dan Informasi mempunyai tugas melakukan pengumpulan, pencarian, dan pengolahan data, pengamatan potensi perpajakan, penyajian informasi perpajakan, perekaman dokumen perpajakan, pelayanan sesuai dengan format pengolahan data; Mengolah data dan informasi bidang .
Anjab Staf Baru Pengelola Data Informasi Produk Hukum | PDF
Anjab Katon | PDF
![]()
Anjab jfu penyusun bahan rencana program & penelaah data perencanaan
J~fVfakwta 1
Anjab jfu pengumpul pengolah data View ANJAB ANALIS DATA DAN from TUGAS 1 at Terbuka University Anjab jfu pengumpul & pengolah data bahan perencanaan program 1

- URAIAN TUGAS DAN KEGIATAN : - Direktorat Jenderal …
![]()
DOC) ANALISIS JABATAN terbaru | Antonius Manullang - Academia.edu
Informasi Jabatan PKM Ahli Pertama | PDF
Unit Kerja : Pemerintah Kabupaten Barito Selatan Eselon II : Sekretariat Daerah Eselon III a : Kecamatan Dusun Selatan Eselon III b : Sekretariat Eselon IV : Sub Bagian Perencanaan, Menginput data dan informasi bidang . Unit Kerja : Pemerintah Kabupaten
Bagian Kelembagaan dan Analisa Jabatan | Kementerian Dalam Negeri Republik Indonesia
Nama Jabatan : Analisi Data dan Informasi 2 View ANJAB ANALIS DATA DAN from TUGAS 1 at Terbuka University Nama Jabatan : Analisi Data dan Informasi 2

2 •ANJAB •ABK •e Formasi. 2 •ANJAB •ABK •e Formasi. - ppt download
BN 296-2013