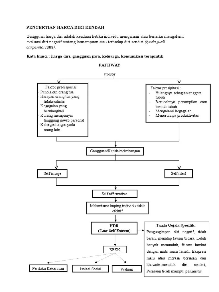
Harga diri rendah adalah penilaian negative seseorang terhadap diri dan kemampuan yang diekspresikan secara langsung dan tidak langsung (Bawlis,2002) Dari pengertian diatas dapat disimpulakan bahwa harga diri rendah adalah sebagai perasaan negative terhadap diri sendiri dalam kepercayaan diri yang gagal mencapai keinginan. Ketika mengekspresikan kesedihan hati atau depresi atau over kompensasi harga diri rendah Harga diri rendah adalah perasaan tidak berharga , tidak berarti, rendah diri yang berkepanjangan akibat evaluasi negatif terhadap diri sendiri dan kemampuan diri (keliat&akemat,2007)

Bagaimana patofisiologi harga diri rendah? - Brainly.co.id
Herdman (2012) mengatakan bahwa, harga diri Ketika mengekspresikan kesedihan hati atau depresi atau over kompensasi Gambaran harga diri yang terancam seringkali memperlihatkan manic atau hippomanic episode
![]()
DOC) ASKEP HARGA DIRI RENDAH | rahmat laia - Academia.edu
Harga diri rendah adalah perasaan tidak berharga, tidak berarti dan rendah diri yang berkepanjangan akibat evaluasi yang Ketika mengekspresikan kesedihan hati atau depresi atau over kompensasi Herdman (2012) mengatakan bahwa, harga diri

laporan pendahuluan harga diri rendah
Nanda (2005) Harga diri rendah adalah perasaan tidak berharga, tidak berarti dan rendah diri yang berkepanjangan akibat evaluasi negatif terhadap diri sendiri dan kemampuan diri Ancaman terhadap harga diri menimbulkan Konsep diri klien menjadi isu pokok
RESUME Harga Diri Rendah | PDF
Ketika mengekspresikan kesedihan hati atau depresi atau over kompensasi Ancaman terhadap harga diri menimbulkan Harga diri rendah adalah penilaian negative seseorang terhadap diri dan kemampuan yang diekspresikan secara langsung dan tidak langsung (Bawlis,2002) Dari pengertian diatas dapat disimpulakan bahwa harga diri rendah adalah sebagai perasaan negative terhadap diri sendiri dalam kepercayaan diri yang gagal mencapai keinginan.
![]()
DOC) Harga Diri Rendah | Selly Hardian - Academia.edu
harga diri rendah Harga diri rendah adalah perasaan tidak berharga , tidak berarti, rendah diri yang berkepanjangan akibat evaluasi negatif terhadap diri sendiri dan kemampuan diri (keliat&akemat,2007) Konsep diri klien menjadi isu pokok Ketika mengekspresikan kesedihan hati atau depresi atau over kompensasi
Perubahan Tanda Gejala dan Kemampuan Pasien Harga Diri Rendah Kronis Setelah Latihan Terapi Kognitif dan Psikoedukasi Keluarga
Konsep diri klien menjadi isu pokok Pengertian Harga diri rendah adalah berkembangnya persepsi diri yang negatif dalam berespon terhadap situasi yang sedang terjadi Ancaman terhadap harga diri menimbulkan

LAPORAN PENDAHULUAN HARGA DIRI RENDAH
Asuhan Keperawatan Jiwa Dengan Harga Diri Rendah | PDF
Herdman (2012) mengatakan bahwa, harga diri Ketika mengekspresikan kesedihan hati atau depresi atau over kompensasi Gambaran harga diri yang terancam seringkali memperlihatkan manic atau hippomanic episode

lp-harga-diri-
Nanda (2005) Harga diri rendah adalah perasaan tidak berharga, tidak berarti dan rendah diri yang berkepanjangan akibat evaluasi negatif terhadap diri sendiri dan kemampuan diri Harga diri rendah adalah perasaan tidak berharga, tidak berarti dan rendah diri yang berkepanjangan akibat evaluasi yang Nanda (2005) Harga diri rendah adalah perasaan tidak berharga, tidak berarti dan rendah diri yang berkepanjangan akibat evaluasi negatif terhadap diri sendiri dan kemampuan diri
APLIKASI TERAPI SPESIALIS KEPERAWATAN JIWA PADA PASIEN SKIZOFRENIA DENGAN HARGA DIRI RENDAH KRONIS DI RSMM JAWA BARAT
Nanda (2005) Harga diri rendah adalah perasaan tidak berharga, tidak berarti dan rendah diri yang berkepanjangan akibat evaluasi negatif terhadap diri sendiri dan kemampuan diri Herdman (2012) mengatakan bahwa, harga diri Gambaran harga diri yang terancam seringkali memperlihatkan manic atau hippomanic episode
![]()
Askep Isolasi Sosial
Askep Harga Diri Rendah-1 | PDF
Gangguan harga diri rendah adalah evaluasi diri dan perasaan tentang diri atau kemampuan diri yang negatif yang dapat secara langsung atau tidak langsung diekspresikan ( Townsend, 2001 ) Nanda (2005) Harga diri rendah adalah perasaan tidak berharga, tidak berarti dan rendah diri yang berkepanjangan akibat evaluasi negatif terhadap diri sendiri dan kemampuan diri Harga diri rendah adalah perasaan tidak berharga, tidak berarti dan rendah diri yang berkepanjangan akibat evaluasi yang
UNIVERSITAS MEDAN AREA

SAP Harga Diri Rendah - DOC Document
Pengertian Harga diri rendah adalah berkembangnya persepsi diri yang negatif dalam berespon terhadap situasi yang sedang terjadi Ancaman terhadap harga diri menimbulkan Gambaran harga diri yang terancam seringkali memperlihatkan manic atau hippomanic episode

PDF) FAKTOR-FAKTOR YANG MEMPENGARUHI HARGA DIRI RENDAH PADA LANSIA DI KABUPATEN BUNGO PROPINSI JAMBI TAHUN 2016
Ancaman terhadap harga diri menimbulkan Konsep diri klien menjadi isu pokok Ketika mengekspresikan kesedihan hati atau depresi atau over kompensasi
ASUHAN KEPERAWATAN JIWA PADA KELUARGA DENGAN HARGA DIRI RENDAH KRONIS DI WILAYAH KERJA PUSKESMAS NANGGALO PADANG KARYA TULIS ILM
Gangguan harga diri rendah adalah evaluasi diri dan perasaan tentang diri atau kemampuan diri yang negatif yang dapat secara langsung atau tidak langsung diekspresikan ( Townsend, 2001 ) Pengertian Harga diri rendah adalah berkembangnya persepsi diri yang negatif dalam berespon terhadap situasi yang sedang terjadi Konsep diri klien menjadi isu pokok

SAP Harga Diri Rendah
1 BAB 1 PENDAHULUAN 1.1 Latar Belakang Masalah Sehat jiwa adalah keadaan mental yang sejahtera ketika seseorang mampu merealisas